• Lightbridge Corporation Corporate Page
  • March 30, 2023 > Form 10-K > Lightbridge Corporation

Form: 10-K

Annual report [Section 13 and 15(d), not S-K Item 405]

March 30, 2023

  • PDF Icon Complete Filing PDF »

    Includes filing and all documents

Documents

  • FORM 10-K »
  • ARTICLES OF INCORPORATION »
  • STRATEGIC PARTNERSHIP PROJECT AGREEMENT »
  • PROJECT TASK STATEMENT »
  • COOPERATIVE RESEARCH AND DEVELOPMENT AGREEMENT »
  • PROJECT TASK STATEMENT »
  • CONSENT »
  • CERTIFICATION »
  • CERTIFICATION »
  • CERTIFICATION »

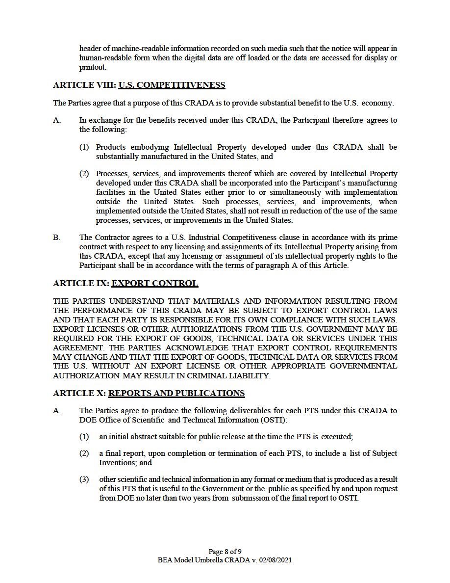
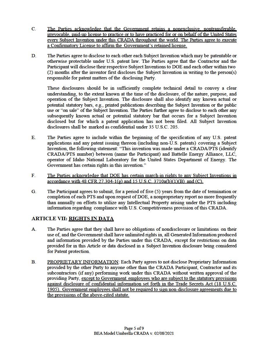
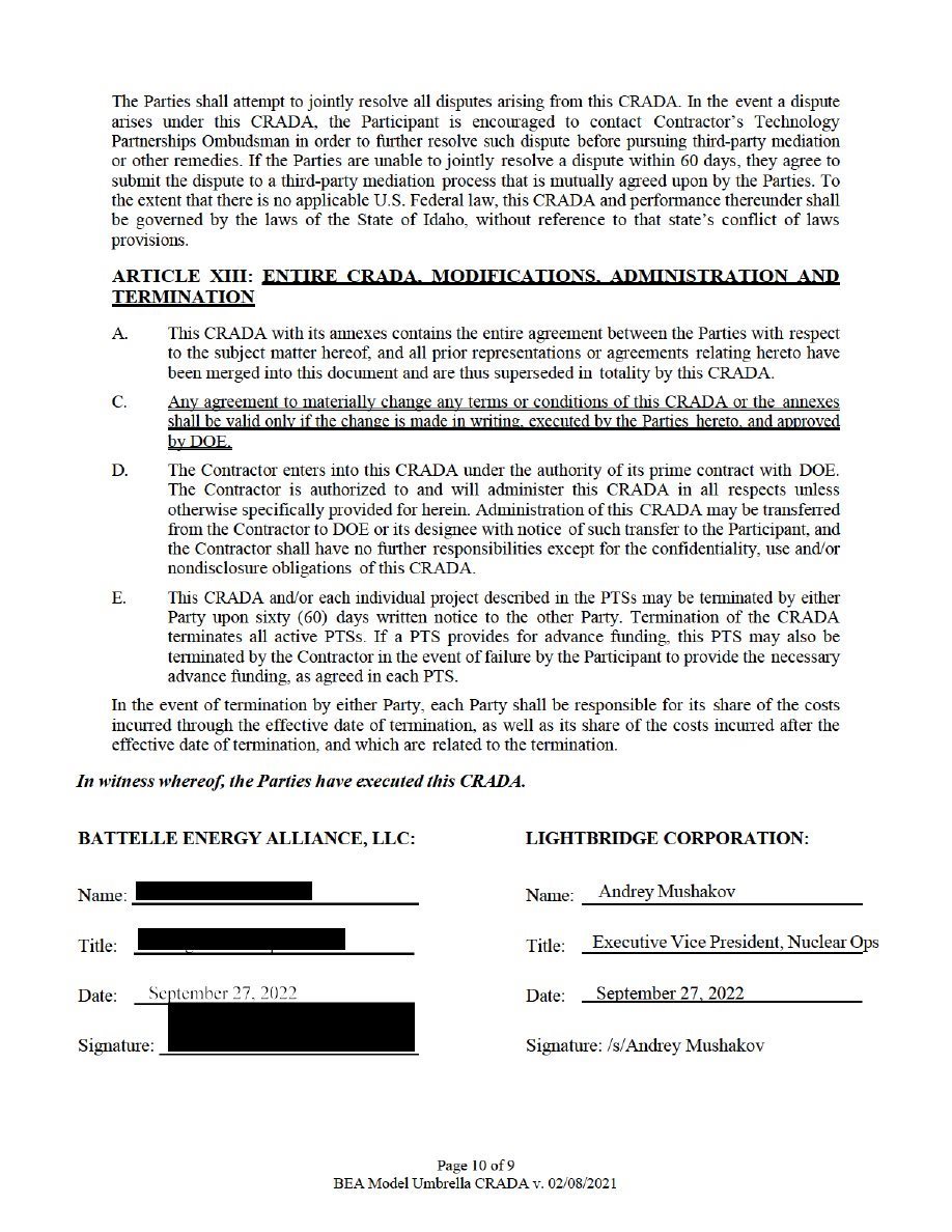
COOPERATIVE RESEARCH AND DEVELOPMENT AGREEMENT

Published on March 30, 2023